aiktcpharmacyexamcell

Tuesday, May 23, 2023

B.PHARM SEM VIII LOWER EXAM REPORT MAY 2023 URGENT AND IMPORTANT

- May 23, 2023
Email ThisBlogThis!Share to XShare to FacebookShare to Pinterest

Thursday, May 18, 2023

SEM V CBCS R-2019 ATKT UNIVERSITY SEMESTER PRACTICAL EXAMINATION TIME TABLE FIRST HALF 2023

- May 18, 2023
Email ThisBlogThis!Share to XShare to FacebookShare to Pinterest

Tuesday, May 16, 2023

UNIVERSITY SEMESTER PRACTICAL EXAMINATION TIME TABLE FIRST HALF 2023 WITH APPEARING LIST

- May 16, 2023
Email ThisBlogThis!Share to XShare to FacebookShare to Pinterest

Tuesday, May 9, 2023

UNIVERSITY SEMESTER THEORY AND PRACTICAL EXAMINATION OF DSY SEM III CBCS R-2019 STUDENTS ONLY NUES SUBJECT


- May 09, 2023
Email ThisBlogThis!Share to XShare to FacebookShare to Pinterest

Monday, May 1, 2023

STUDENTS OF ATKT SEM VIII CBCS 2016 SYLLABUS ARE ADVISED TO CHECK THEIR RESPECTIVE EXAM CENTRES MENTIONED ON THEIR EXAM HALL TICKETS

- May 01, 2023
Email ThisBlogThis!Share to XShare to FacebookShare to Pinterest

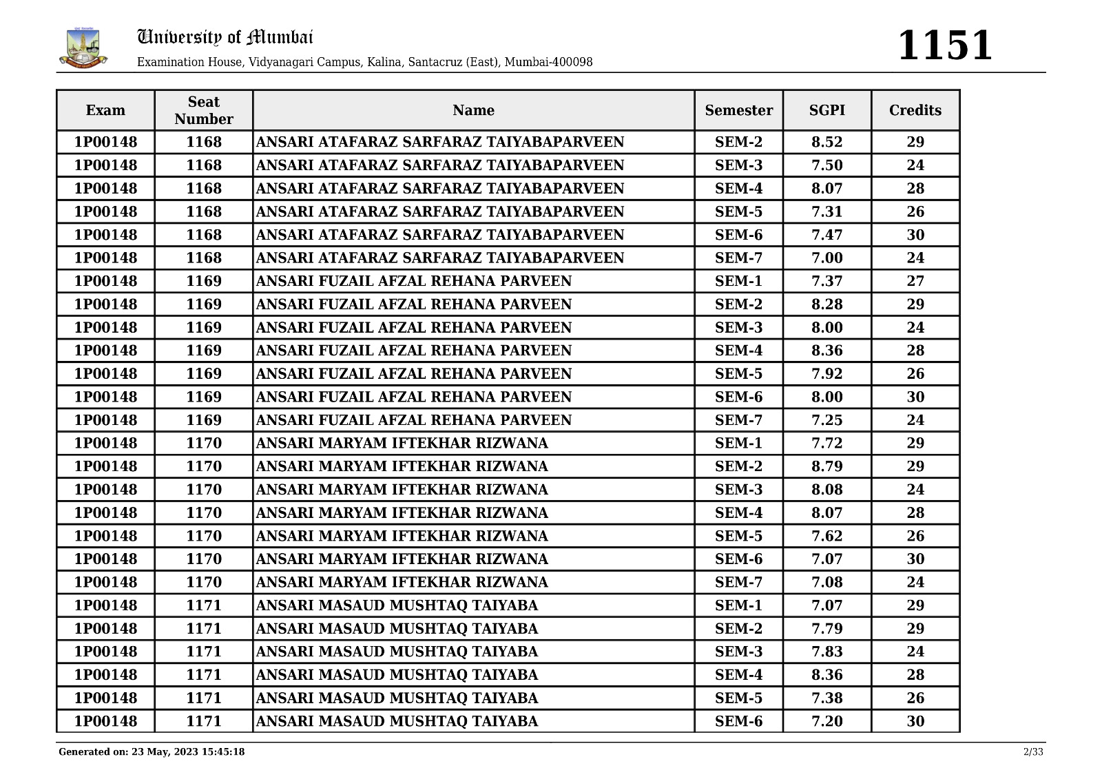
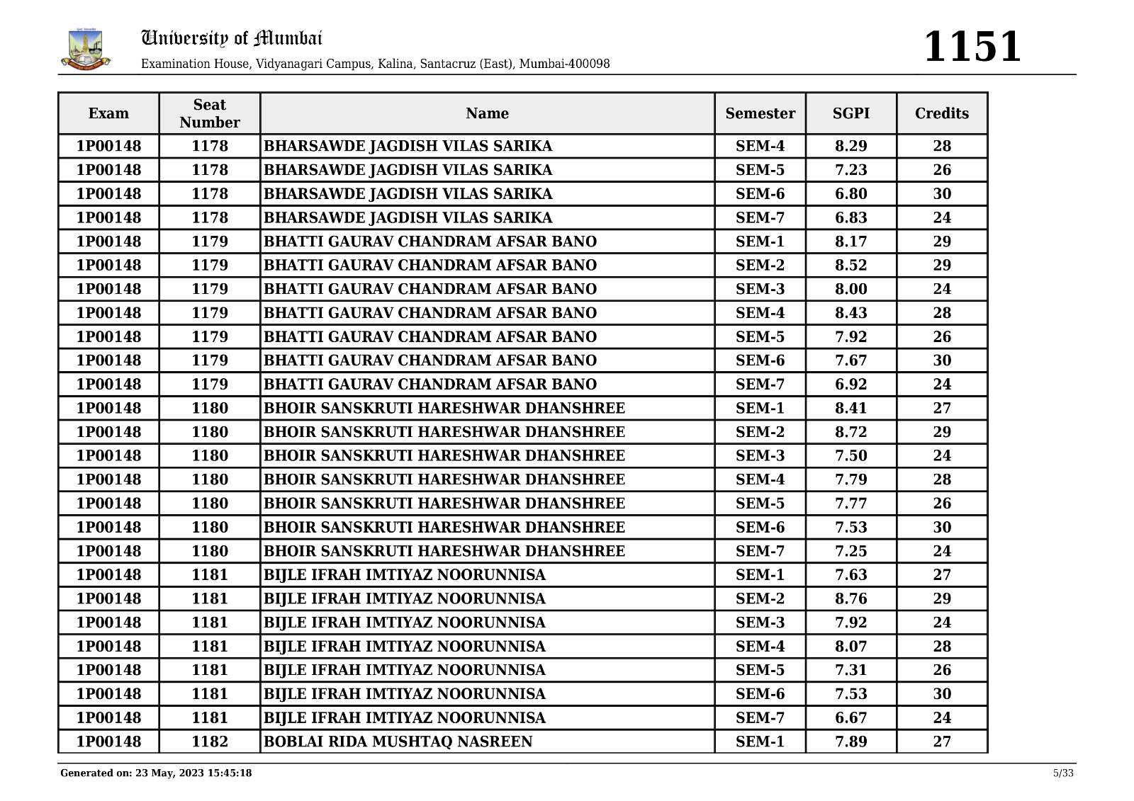
URGENT AND IMPORTANT COLLEGE AIKTC CENTRE 1151Students are advised to check their respective centres printed on their HALL TICKETS.


- May 01, 2023
Email ThisBlogThis!Share to XShare to FacebookShare to Pinterest
Newer Posts Older Posts Home
Subscribe to: Comments (Atom)

URGENT AND IMPORTANT SEM I ATKT EXAM SECOND HALF NUES SUBJECT MUMBAI UNIVERSITY BASED AND COLLEGE AUTONOMOUS VASED REGULAR

  • SEM I CBCS R-19 GAZETTE JUNE 2025 - FOR ANY DISCREPANCIES/QUERIES TO REPORT TO EXAM CELL IN PERSON WITHOUT FAIL WITHIN THREE DAYS OF DISPLAY OF RESULT
     
  • Gazette Important SEM II,III,IV,V Important and Urgent
     
  • SEM III CBCS R-19 GAZETTE REG and ATKT
    ANY DISCREPANCY IN RESULT TO REPORT TO EXAM CELL WITHIN 02 DAYS OF DISPLAY OF RESULT, FOR OPENING PAGE -SELECT THE LINK AND CLICK OPEN  http...

Search This Blog

  • Home

About Me

aiktcpharmacyexamcell
View my complete profile

Report Abuse

Labels

  • exam date & compulsory for all appearing Students
  • NOTE:- this is for mock exam
  • Previous time table of final year to be ignored

Blog Archive

  • February 2026 (9)
  • January 2026 (4)
  • December 2025 (6)
  • November 2025 (7)
  • October 2025 (6)
  • September 2025 (2)
  • August 2025 (17)
  • July 2025 (9)
  • June 2025 (2)
  • May 2025 (3)
  • April 2025 (6)
  • March 2025 (19)
  • February 2025 (8)
  • December 2024 (5)
  • November 2024 (5)
  • October 2024 (11)
  • September 2024 (11)
  • August 2024 (13)
  • July 2024 (2)
  • June 2024 (1)
  • May 2024 (5)
  • April 2024 (15)
  • March 2024 (23)
  • February 2024 (3)
  • January 2024 (5)
  • December 2023 (4)
  • November 2023 (10)
  • October 2023 (16)
  • September 2023 (16)
  • August 2023 (5)
  • July 2023 (16)
  • June 2023 (5)
  • May 2023 (6)
  • April 2023 (15)
  • March 2023 (17)
  • February 2023 (3)
  • January 2023 (1)
  • December 2022 (2)
  • November 2022 (13)
  • October 2022 (20)
  • September 2022 (10)
  • August 2022 (6)
  • July 2022 (10)
  • June 2022 (3)
  • May 2022 (4)
  • April 2022 (9)
  • March 2022 (5)
  • February 2022 (2)
  • January 2022 (3)
  • December 2021 (3)
  • November 2021 (7)
  • October 2021 (7)
  • September 2021 (2)
  • August 2021 (4)
  • July 2021 (5)
  • May 2021 (3)
  • April 2021 (11)
  • March 2021 (7)
  • February 2021 (2)
  • January 2021 (9)
  • December 2020 (17)
  • November 2020 (14)
  • October 2020 (6)
  • September 2020 (6)
Travel theme. Powered by Blogger.